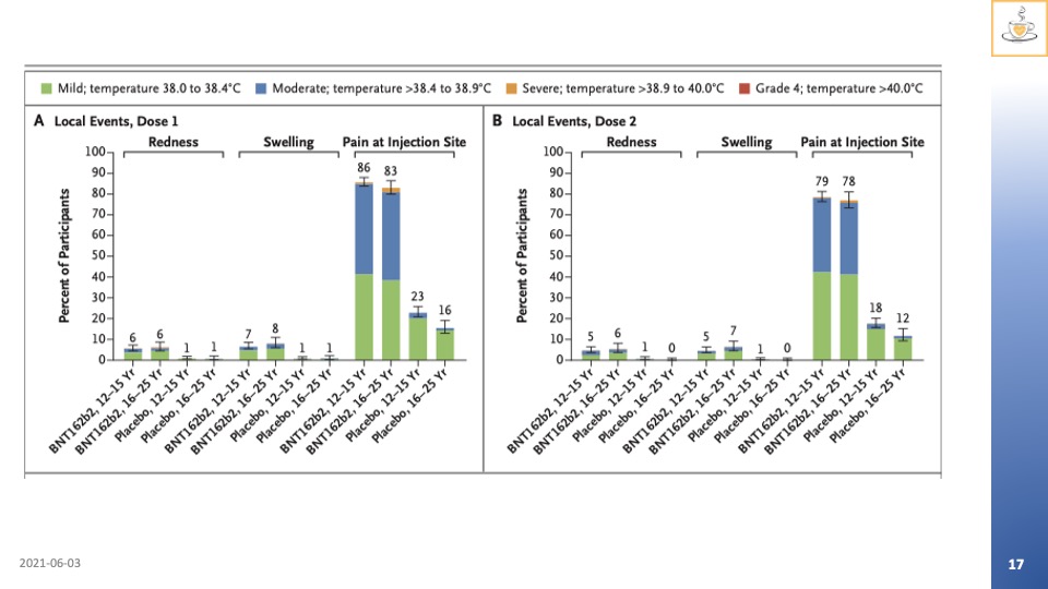
✅ This week’s article : « Safety, Immunogenicity, and Efficacy of the BNT162b2 Covid-19 Vaccine in Adolescents »May 27, 2021, NEJM 2021 . Link to Full text
✅ This week’s article : « Safety, Immunogenicity, and Efficacy of the BNT162b2 Covid-19 Vaccine in Adolescents »May 27, 2021, NEJM 2021 . Link to Full text